性爱影片
学校性爱影片
|
书记院长信箱
|
性爱影片 官方邮箱
性爱影片
性爱影片概况
机构设置
现任领导
行政机构
书记院长信箱
性爱影片 官方邮箱
本科生教育
研究生教育
专业与导师介绍
研究生培养
研究生管理
研究生活动
荣休(原)导师
教学科研
师资力量
科研信息
资料下载
科研团队
党团建设
组织设置
党建活动
团委工作
学习教育
招生就业
研究生
本科生
学术预告
性爱影片
>
性爱影片公告
>
正文
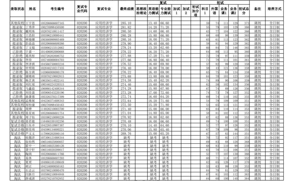
性爱影片 2026年硕士研究生复试结果及拟录取名单(批次调剂2批)
作者: 时间:2026-04-12 点击数:
下一篇:
2026年硕士研究生复试面试安排简况表(调剂二批)
友情链接
/LINK
版权所有 性爱影片-高清性爱影片在线点播免费区 地址:河北省石家庄市学府路47号性爱影片 邮编:050061